下載看更多 ▶︎ ADI RF 與 AMD FPGA 完美結合,助力UAV飛得更高!

摘要
集成式射頻 (RF) 捷變收發器不僅廣泛用於蜂窩電話基站的軟體定義無線電 (SDR)1架構,如多業務分散式接入系統 (MDAS) 和小基 站單元等,也適用於工業、商業以及軍事應用中的無線高清視頻傳輸,如無人飛行器 (UAV) 應用。 本文將剖析使用 AD9361 / AD9364 2,3 集成式收發器IC實現寬頻無線視頻信號鏈的過程,以及傳輸的數據量、相應的RF佔用信號頻寬、傳輸距離和發射功率。 文中還將描述OFDM物理層的實現,並列出用於避免射頻干擾的跳頻時間測試結果。 最後,我們將討論Wi-Fi和RF捷變收發器在寬頻無線應用方面的優缺點。
信號鏈
圖1所示為採用AD9361/AD9364和BBIC的簡化無線視頻傳輸方案。 攝像機捕捉到影像,並通過乙太網、HDMI® 、USB或其他介面將視頻數據發送至基帶處理器。 圖像編碼/解碼可通過硬體或FPGA處理。 RF前端包括RF開關以及連接到可程式設計集成式收發器的LNA和PA。

圖1. 無線視頻傳輸示意圖。
需要傳輸多少數據
表1列出了未壓縮數據速率和壓縮數據速率之間的顯著差異。 通過使用高效視頻編碼 (HE VC) 技術,也就是H.265和MPEG-H第2部 分,可以降低數據速率並節省頻寬。 H.264是目前最常用於錄像、壓縮及視頻內容分佈的格式。 它體現了視頻壓縮技術的巨大進步,並且在未來有可能接替現已廣泛使用的AVC(H.264和MPEG-4第10部分)技術。

表1總結了不同視頻格式下的未壓縮和已壓縮數據速率。 其假設 條件是視頻的位深度為24位,幀速率為60 fps。 在1080p的例子中, 壓縮后的數據速率為14.93 Mbps,這樣的數據率才會更加容易地被 基帶處理器和無線物理層進行處理。
表1. 壓縮數據速率

下載看更多 ▶︎ ADI RF 與 AMD FPGA 完美結合,助力UAV飛得更高!
信號頻寬
通過改變採樣速率、數位濾波器和抽取參數,AD9361/AD9364可支援的通道頻寬範圍為低於200 kHz到56 MHz。 AD9361/AD9364為 零中頻收發器,具有用來發射複數數據的I通道和Q通道。 複數數據含有實部和虛部,分別對應I通道和Q通道,它們位於同一頻帶上,因此其頻譜效率是單通道頻譜效率的兩倍。 壓縮視頻數據可以映射到I和Q通道以創建星座點,也就是符號。 圖2顯示了一個16QAM的例子,每個星座點符號代表四個二進位比特。

圖2. 16 QAM星座圖。 4.

圖3. 星座圖中I和Q數位波形。 4.

圖4. 脈衝整形濾波器回應。 4 .
對於單載波系統,I和Q數位波形在進入DAC之前需要通過脈衝整形濾波器,使所傳輸的信號在有限頻寬內成形。 脈衝整形可使用FIR濾波器,濾波器回應如圖4所示。 為了確保資訊逼真度,必須滿足對應於符號速率的最小信號頻寬。 符號速率與壓縮視頻數據成正比,如下式所示。 對於OFDM系統,應使用IFFT將複數數據調製到各個子載波上,使其在有限頻寬內傳輸信號。

每個符號對應的位數取決於調製階數。

圖5. 調製階數。
所佔用信號頻寬為

從而,我們可以計算出RF佔用信號頻寬,如表2中的總結所示。
表2.各種調製階數的RF佔用信號帶寬 (α = 0.25)

AD9361/AD9364可實現56 MHz信號頻寬,支援表2中所有視頻格式的傳輸,並且支援更高的幀速率。 高階調製佔用的頻寬更小,每個碼元可表示更多的資訊/位,但是解調所需的信噪比 (SNR) 更高。
傳輸距離和發射器功率
在無人飛行器等應用中,最大傳輸距離是一個關鍵參數。 但是,保持通信不中止同樣很重要,即使距離較小時也是如此。 氧氣、水和其他障礙物(自由空間衰減除外)可能會使信號衰減。
圖6顯示了無線通信通道損耗的模型。

圖6. 無線通信通道損耗模型。 5.
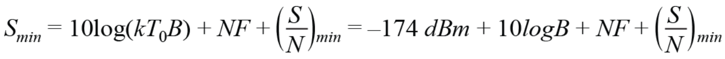
通常將解調或恢復發射器資訊所需的最小輸入信號 (Smin) 作為接 收器靈敏度。 獲得接收器靈敏度后,結合某些假設條件可計算出 最大傳輸距離,如下所示:

(S /N )min 表示處理信號所需的最小信噪比
NF表示接收器的雜訊係數
k表示玻爾茲曼常數,1.38 × 10–23 焦耳/k
T0 表示接收器輸入的絕對溫度(開爾文) = 290 K
B表示接收器頻寬(單位Hz)
參數(S/N )min 與數據/解調階數相關。 在相同的信噪比下,低階調製可得到更低的誤碼率,而在相同的誤碼率下,高階調製需要更高的信噪比來解調。 因此,如果發射器離接收器很遠,則接收到的信號較弱,信噪比不足以支援高階解調。 為了使發射器保持在線狀態,並使視頻格式保持同一視頻數據速率,則基帶應使用低階調製,其代價是增加頻寬。 這樣有助於確保接收到的圖像清晰不模糊。 幸運的是,我們可通過具有數位調製和解調功能的軟體定義無線電來改變調製方式。 上述分析基於這樣的假設條件:發射器的RF功率保持恆定。 在天線增益相同時,較大的RF發射功率將能達到更遠處具有相同接收靈敏度的接收器,儘管如此,最大發射功率應符合FCC/CE輻射標準。
此外,載波頻率也會對傳輸距離產生影響。 當波在空間中傳播時,會發生散射損耗。 自由空間損耗可由下式確定

其中R為距離,λ為波長,f為頻率,C為光速。 因此,在相等的自由空間距離上,頻率越高,損耗越大。 例如,相較於2.4 GHz,載波頻率為5.8 GHz時在相同傳輸距離上的衰減將超過7.66 dB。
RF頻率和頻率切換
AD9361/AD9364輸出覆蓋70 MHz至6 GHz的可程式設計頻率範圍。 這將能滿足大多數NLOS頻率應用,包括不同類型的特許執照和免執照頻段,比如1.4 GHz、2.4 GHz和5.8 GHz。
2.4 GHz頻段已廣泛用於Wi-Fi、Bluetooth® 以及物聯網 (IoT) 短程通信,因此變得越來越擁擠。 該頻段用於無線視頻傳輸和控制信號將會增大信號干擾的幾率和不穩定性。 從而導致無人飛行器陷入不良情況,這些情況往往十分危險。 使用頻率切換技術保持乾淨的頻率通道,將確保數據和控制連接更可靠。 當發射器覺察到擁擠頻率時,它會自動切換到其他頻帶。 例如,兩架同時使用相同頻率並且近距離工作的無人飛行器將會相互干擾對方的通信。 自動切換LO頻率並重新選擇頻帶將有助於維持穩定的無線鏈路。 在上電期間自適應選擇載波頻率或通道是高端無人飛行器的一個傑出特性。
跳頻
廣泛應用於電子對抗 (ECM) 的快速跳頻技術也有助於避免干擾。 通常情況下,如果我們想要跳頻,PLL需在程序執行后重新鎖定。 該過程包括寫頻率寄存器,然後經過VCO校準時間和PLL鎖定時間,因此跳頻間隔約為幾百微秒。 圖7顯示了跳頻發射器的LO頻率從816.69 MHz跳變至802.03 MHz的例子。 AD9361用於正常頻率變化模式,發射器RF輸出頻率從814.69 MHz跳變至800.03 MHz,參考頻率為10 MHz。 跳頻時間通過E5052B測得,如圖7所示。 根據圖7b,VCO校準和PLL鎖定時間約為500 μs。 信號源分析儀E5052B可用來捕捉PLL的瞬態回應。 圖7a顯示了瞬態測量的寬頻模式,而圖7b和7d以顯著高解析度顯示了跳頻時的頻率和相位瞬態測量值。 6 圖7c則顯示了輸出功率回應。

圖7. 頻率從804.5 MHz跳變至802 MHz,歷時500 μs。
500 μs對於跳頻應用來說是一段很長的時間間隔。 不過,AD9361/ AD9364支援一種快速鎖定模式,通過將合成器程式設計資訊集(稱為 配置檔)存入器件寄存器或基帶處理器的存儲空間,可使該過 程比正常頻率變化更快。 圖8顯示了通過快速鎖定模式使頻率從882 MHz跳變至802 MHz的測試結果。 根據圖8d的相位回應,該時 間可縮短至20 μs以下。 相位曲線參照802 MHz的相位繪製。 由於頻 率資訊和校準結果均已保存在配置檔中,因此省去了SPI寫入時 間和VCO校準時間。 我們可以看到,圖8b顯示了AD9361/AD9364的 快速跳頻性能。

圖8. 在快速鎖定模式下,頻率在20 μs內從882 MHz跳變至802 MHz。
物理層的實現—OFDM
正交頻分多路複用 (OFDM) 是一種信號調製技術,可將高數據速率 調製流劃分到多個緩慢調製的窄帶密集的子載波上。 因此,信號 不易受到選擇性頻率衰減的影響。 其缺點是峰均功率比較高,並 且對載波偏移和漂移比較敏感。 OFDM廣泛應用於寬頻無線電通 信物理層。 OFDM的關鍵技術包括IFFT/FFT、頻率同步、採樣時間同步、碼元/幀同步。 IFFT/FFT可通過FPGA以最快方式實現。 子載波間 隔的選擇也十分重要。 該間隔不應太小,應足以對抗運動通信中 的多普勒頻移; 但也不應太大,以便在有限的頻率頻寬內攜帶更 多碼元符號,從而提高頻譜效率。 COFDM是指編碼技術和OFDM調 製的結合。 COFDM對信號衰減的承受能力較強,並且具有前向糾 錯 (FEC) 功能,因此可以從任何移動對象發送視頻信號。 其編碼技 術將會增大信號頻寬,但此代價通常是值得的。
通過將MathWorks基於模型的設計和自動生成代碼工具與強大的 Xilinx® Zynq SoC以及ADI公司的集成式射頻 (RF) 收發器相結合,SDR 系統的設計、驗證、測試和實現可以比以前更高效,進而提高無線電系統的性能並縮短上市時間。 7.
相較於Wi-Fi具有哪些優勢?
配備Wi-Fi的無人飛行器可以很容易地連接到手機、筆記型電腦和 其他行動裝置,因此使用起來非常方便。 但是,對於無人飛行器應 用中的無線視頻傳輸,FPGA和AD9361解決方案具有很多勝過Wi-Fi的優點。 首先,AD9361/AD9364在物理層可通過捷變頻率切換和快 速跳頻避免干擾。 而大多數集成Wi-Fi晶元仍工作於擁擠的2.4 GHz 頻帶,沒有頻帶選擇機制來確保更穩定地無線連接。
其次,若採用FPGA和AD9361解決方案,可由設計工程師靈活定義 和開發傳輸協定。 而Wi-Fi協議為標準協定,基於每個數據包的雙 向握手機制。 在使用Wi-Fi時,每個數據包必須確認該包已收到並且包中512位元組數據在收到時完整無缺。 如果丟失一個字節,則整個512位元組數據包必須重新發送。 8雖然該協定能夠確保數據的可靠性,但重新建立無線數據鏈路的過程非常複雜且費時。 TCP/IP協議帶來的高延遲將會造成非實時視頻和控制,從而可能導致無人飛行器墜落。 而SDR解決方案(FPGA加AD9361)使用一個單向數據流,也就是說,空中的無人飛行器可像電視廣播一樣傳輸視頻信號。 當目標是獲取即時視頻時,就沒有重新發送數據包的時間。
再者,對於很多應用,Wi-F i不能保證適當的安全等級。 FPG A加AD9361/AD9364解決方案利用加密演算法和自定義協定,因此不易受到安全威脅的影響。
與此同時,單向廣播數據流可實現的傳輸距離是Wi-Fi傳輸距離的兩至三倍。 8軟體定義無線電的靈活性使得數位調製/解調可以根據距離需求而調整,並且適應複雜空間輻射環境中變化的SNR。
下載看更多 ▶︎ ADI RF 與 AMD FPGA 完美結合,助力UAV飛得更高!
結論
本文闡述了使用FPGA和AD9361/AD9364解決方案實現高清無線視頻傳輸的關鍵參數。 憑藉捷變頻段切換和快速跳頻技術,可建立一個更穩定、可靠的無線鏈路,以對抗空間中日益複雜的輻射環境並減小墜落幾率。 在協定層,該解決方案使用單向傳輸以縮減無線鏈路的建立時間並實現低延遲連接,因此更靈活。 在農業生產、電力線檢查及監督等工商業應用中,穩定、安全和可靠的傳輸是成功的關鍵。
參考電路
1 ADI的軟體定義無線電解決方案。 ADI公司。
2 AD9361數據手冊。 ADI公司。
3 AD9364數據手冊。 ADI公司。
4 Ken Gentile. 應用筆記AN-922:數位脈衝整形濾波器基本知識。 ADI公司。
5 Scott R. Bullock。數位通訊的收發器和系統設計,第4版。 SciTech Publishing,Edison,NJ,2014。
6 E5052B訊號源分析儀,高階相位雜訊和瞬態測量技術。安捷倫公司,2007年。
7 Di Pu, Andrei Cozma, and Tom Hill. “快速通往量產的四個步驟:利用基於模型的設計開發軟體定義無線電。”模擬對話,第49卷, 2015年。
8 John Locke. “ DJI Phantom 4的Lightbridge技術對比Yuneec TyphoonH的Wi-Fi技術.” Drone Compares.
作者
Wei Zhou是ADI公司的應用工程師,負責支援射頻收發器產品和應用的設計與開發,特別是無線視訊傳輸和無線通訊領域。他目前任職於中國北京的ADI技術支援中心,五年來一直在為各種產品提供技術支持,包括DDS、PLL、高速DAC/ADC以及時脈。在加入ADI公司之前,他於2006年獲得武漢大學學士學位,並於2009年獲得中國科學院(CAS) 電子學研究所碩士學位。 2009年至2011年,他在一家航太科技公司擔任射頻和微波電路與系統設計工程師。
安馳科技 FAE support. Please e-mail
► Marketing.anstek@macnica.com
► 或加 安馳科技 LINE 洽詢
► 追蹤 安馳科技 Facebook
► 請加入 安馳YouTube頻道
► 立即填寫料號 申請樣品
洽詢更新產品、技術與安馳抽獎活動